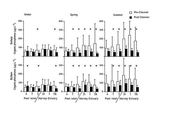
Figure 10: Mean organic phosphorus concentration from the six sites in the Peel Harvey Estuary during pre and post Channel years. The * represents a significant difference between pre and post Channel years. Site locations in Figure 1.